Time:2022-11-09 Click:296
原文标题:《全面解读 Cosmos2.0 :从松散联盟走向经济共同体》
原文作者:Morty
原文来源:深潮 TechFlow
9 月 26 日-28 日,Cosmoverse 大会在哥伦比亚城市麦德林顺利举办,旨在让南美加密社区更加了解 Cosmos 生态系统,最令人期待的是,在此次大会中,Cosmos 发布了全新的 2.0 白皮书。
白皮书首先回顾之前 Cosmos 通过 Tendermint、IBC 和 SDK 所创造的辉煌。在意识到 Cosmos Hub 网络的采用率低下和质押在其上的 ATOM 利用率低下后,贡献者们希望通过 Cosmos 2.0 改变这一局面。
正如 IBC 协议核心开发成员 Zaki 在大会演讲中说的那样,「今天的 ATOM 是 Cosmos 生态系统中的 MEME,它可以做到更多。」
在笔者看来,Cosmos 生态或者说 ATOM 最大的问题是在 Cosmos Hub,它是「Cosmos 生态系统的经济中心」,旨在成为连接所有区块链,提供有价值服务的粘合剂,ATOM 是保护 Cosmos Hub 的 Token,但是很不幸,Cosmos Hub 发展并不尽如人意。
一方面,许多 Cosmos 领导人选择退出 Hub,使用 Cosmos SDK 建立他们自己的链,另一方面,他们的确也可以完全跳过 Hub 发展顺畅,可以这样说,Cosmos Hub 成为了 Cosmos 生态成功的牺牲品。
如何改变这一切?为此,Interchain Scheduler 和 Interchain Allocator 将成为 Cosmos 生态的重要组成部分,配合 Cosmos 全新推出的链间安全边际扩张、链间调度、ATOM 全新 Token 经济学以及 ATOM 质押流动性凭证等功能,来组成加速生态飞轮发展的催化剂,增强链与链之间的联系和互动,最终推动 Cosmos 生态成为一个具有弹性的多链生态。
在公开的 Cosmos 堆栈中,我们看到了 Interchain Scheduler 与 Interchain Allocator 两个新模块。
Interchain Scheduler(链间调度器)是 Cosmos 中的一个跨链区块空间市场,它从跨链 MEV 中产生收入。
用 Ethereum.org 的解释,可以将 MEV 理解为「通过包括、排除和改变一个区块的交易顺序,从区块生产中提取的超过标准区块奖励和 Gas 费的最大价值」,Cosmos 生态中高频跨链行为推动了最大可提取价值(MEV)的机会。
具体做法是,有意愿的 Cosmos 区块链可以将其区块空间的一部分出售给链间调度器;后者随后将发行代表区块空间「预订」的 NFTs,这些 NFT 将被定期拍卖,甚至可能在二级市场上进行交易。然后原始区块链将获得部分收益。根据白皮书,链间调度器将补充(而不是取代)链外 MEV 中继,促进竞争。
Interchain Allocator(链间分配器),旨在简化整个 Cosmos 网络的经济协调,加速 Cosmos 项目的用户和流动性获取,同时确保 ATOM 作为网络储备货币的地位。
比如 Scheduler 产生的这些收入将通过 Interchain Allocator 分配,用于推动生态中有前途的新项目和生态的长期发展,而新项目的出现又会推动更多收入的分配。

总结起来就是:Scheduler 将 IBC 的经济活动货币化,收入最终流向 Allocator,Allocator 支持 Cosmos 生态中的新项目,扩大了 Scheduler 的潜在市场容量。
最大的意义在于,Cosmos Hub 将通过创建区块空间市场并收取匹配费用可以从跨链活动中获得收入,要知道,现在的 Hub 其实没啥收入。
但是小型应用链会有这方面的担忧,因为如果新推出的应用程序由市值低于该链上的 TVL 的通证质押者来保护,则会有被攻击的风险。
因此,Interchain Security 允许这些应用链从 Cosmos Hub 租用安全性,只需要付出一定比例的交易费用,这些应用链将能够得到 Cosmos Hub 的验证者提供的安全保障,毕竟整个 ATOM 市值在 40 亿美元左右,作恶成本大概在 30 亿美元左右(2/3*ATOM 市值,且很难二级市场上收集到这么多的数量)。

Interchain Security 可用在以下几个方面:Rollup Settlement(在外部数据可用性提供者发布欺诈证据时的一个规范的 Rollup 结算系统和扩展解决方案)、IBC 多链路由、链名服务(ENS 的 Cosmos 版本)、Multiverse(可以理解为测试网)等。
Interchain Security 推出,让 Cosmos Hub 成为了安全中枢,并且帮助 ATOM 从其他应用链的安全需求中捕获价值。
此外,ATOM 累积更多价值的另一种方式是利用 Liquid staking(流动性抵押)。
今天,ATOM 持有者可以通过向验证者抵押他们的 Token 来赚取利息,但这样做涉及到将 Token 锁定在区块链上的一个地址,至少在一段时间内,它们不能被出售,仅仅只是第三方应用程序提供 "Liquid staking "解决方案,使用户能够通过代表其股份的衍生 Token 交易其抵押资产。
大会上,核心开发者 Buchman 表示,「Cosmos Hub 很快就会将 Liquid staking 纳入网络代码的核心,有了原生的 Liquid staking 模块,将提供更好的用户体验。现在 ATOM 可以开始变得更有流动性,即使它已经提供了安全性,我们同样可以开始提供新的方法来将 ATOM 的安全性和流动性与生态系统中推出的其他 Token 联系起来。」
一个比较主观的观察是,谈到 Cosmos,大家对 SDK 和一些生态项目赞叹有加,但是对 ATOM 十分抱怨。
一是高且不稳定的通胀率,目前 ATOM 通胀率在 7% 到 20% 之间,具体取决于被质押的 ATOM 占总供应量的百分比。2019 年 3 月 ATOM 总供应量约为 2.14 亿枚,现在流通的 ATOM 超过 2.925 亿枚,增幅约为 36.68%。
二是缺少价值捕获方式,这和波卡生态形成鲜明对比,尽管总体上波卡生态不如 Cosmos 生态此般蓬勃,但是 DOT 却能通过平行链拍卖等牢牢汲取整个生态的价值。
打个比方,如果波卡是有中心的联邦,那么 Cosmos 就是松散的邦联。
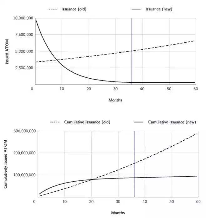
新的 ATOM Token 经济学会改变其发行数量和价值捕获,ATOM 的发行将调整为两个阶段:过渡阶段和稳定阶段。
过渡阶段为 36 个月,开始时每月发行 1000 万个 ATOM,如果这个立马批准实施,那么通胀率在短期内会极速飙升,短暂到达 40%,然后通胀率再稳步下降,直到达到每月 300,000 ATOM 的发行量,从而有效地将 ATOM 的通货膨胀率降至 0.1%。
如下图所示,ATOM 的发行将变成线性的,而不是指数的。

在进入稳定阶段之后,通过 Interchain Security,来自每个应用链的部分交易费用和通胀将被发送到 Cosmos Hub 的发行模块,用于支付所有链的安全支出,以取代目前的发行补贴。
简单来说,就是白皮书 2.0 通过 Interchain Security,取代了用于激励验证者和质押者的 Token 通胀,反而是用由此产生的安全费用来奖励验证者和质押者。
直观来看,验证者和质押者的奖励会变少。但是 Cosmos 为了增强 ATOM 的资本效率,推出了 ATOM 流动性质押凭证协议。这意味着,用户可以通过质押凭证,获得流动性,从而参与更多的链上活动,比如参与更多 DeFi 活动。
而由 Interchain Security 推动的 Cosmos 经济体系改革将直接通过 Interchain Scheduler 和 Interchain Allocator 来实现全新的分配模式,如下图所示:

通胀奖励和 Interchain Allocator 价值分配将直接指向 Cosmos Hub Treasury,该资金池是新项目和生态长期发展的主要推手,目标是在 Cosmos 生态内建立起一个弹性的经济体系。
总体上,Cosmos 生态或许不再是一个「松散的联盟」状态,而是走向了一个经济共同体。
核心开发者 Buchman 和 Zaki 在 Cosmoverse 的演讲最后表示,Cosmos Hub 的开发将取决于 ATOM 持有者,他们可以投票支持或反对对区块链的任何更改。从目前论坛上和推特上的反应来看,大多数人都持乐观态度。
最乐观的还属 Zaki,表示「Cosmos Hub 的新功能将让 EIP-1559 看起来像个笑话」,还给自己的演讲命名为「$1K ATOM LFG」。
其次,我们也看到一些质疑声音,主要还是集中在 36 个月的过渡期发行,认为过渡期实际上是 Cosmos Hub 的新一轮融资,假设抵押比率不变,将为 Cosmos Hub 筹集超过 3700 万个 Token(当前价值 5.25 亿美元),稀释了当前的 ATOM 持有者。
但总体上,我们还是看到了 Cosmos Hub 有了实际产生收入的方式,并且 ATOM 有了更多的价值捕获,不再是一个完全的松散邦联,更像一个经济共同体,正如 Mindao 对于 Cosmos 2.0 白皮书的评价一样:Cosmos 2.0 正试图将 ATOM 变成「Cosmos Union」的无权限欧元,作为一种服务提供共享经济安全和去中心化,而成员链仍然保留完全的主权。